When we think of sports drinks, we think of the typical colorful bottles that are sold in almost all supermarkets. Most of us remember a very sweet drink with a bit of citrus flavor and a preconceived idea that it should be taken during training to avoid dehydration and improve our performance. This is an idea that has penetrated people through years of marketing and advertising.
In this article, we will try to explain what these types of drinks consist of so that you can understand the different possibilities they have and some general suggestions for making our own sports drinks.
Hydration, temperature, and exercise
We know that 50-70% of the human body is composed of water. This allows us to understand the importance of adequate hydration in the body, because it has multiple functions, we can focus on (1):
- Nerve transmission and muscle contraction.
- Transportation of nutrients and metabolites.
- Maintenance of the structure of large molecules such as proteins and glycogen.
- Digestive function, as a component of saliva and gastric secretions.
- Lubricating and cushioning function around the joints, spinal cord, inside the eyes, and in the amniotic sac that surrounds the fetus in the uterus.
- Maintenance of blood volume.
- Regulation of body composition.
Therefore, it is not surprising that these demands have increased among subjects who engage in vigorous physical activity.
When drinking sports drinks, the main factors we must consider are: the room temperature at which the exercise occurs, our thermoregulation ability, the sweating rate and the time of exposure to physical activity conditions.

The figure is adapted from the book “Sports Nutrition” (2). A component that participates in and affects activities and/or physical exercise under high temperature or high-temperature conditions.
These conditional factors must be resolved through training and gradual exposure to these unfavorable conditions. Some of them cannot be manipulated (such as room temperature), but others can be trained and improved. When we correctly calculate the remaining factors, sports drinks can provide us with additional help.
What is a sports drink?
A simple definition proposed by the FEMEDE (Spanish Federation of Sports Medicine) (3) and that perfectly sums it up would be:
“Drinks specially designed for athletes must have a specific composition to achieve rapid absorption of water and electrolytes, and prevent fatigue, with three main objectives:
- Water replacement to avoid dehydration.
- Replacement of all electrolytes, especially sodium.
- Provide carbohydrates that maintain an adequate concentration of glucose in the blood and delay the depletion of glycogen stores. “
The drink have to be cold (approximately between 15-22ºC), and may contain flavoring agents to improve its palatability, so it is easier to ingest liquids. In addition, they must be easily ingested during exercise exercises to interfere with their performance as little as possible. With this in mind, the formulation of sports drinks should be formulated according to the athlete’s fluid loss, activity, environment and conditions. And always in a personalized way, because not everyone responds in the same way.
Objectives and components of sports drinks
There is no doubt that water is the protagonist of sports drinks. But in the sports environment, due to the complexity of hydrating needs at certain moments of physical activity, this role has certain nuances. And one of the biggest risks that occur in certain sports activities (especially endurance sports) is the well-known hyponatremia state. In addition, poor hydration programs can cause performance degradation, gastrointestinal discomfort, muscle problems, cramps, dizziness… Therefore, we continue to elaborate on the main elements they should contain:
- Water: Our sports drinks are essential. According to Burke and Maughan in the IAAF Medical and Anti-Doping Committee document (4), we can roughly calculate how much fluid we lose during exercise.

The image extracted from the file of Burke and Maughan (2007) (4) perfectly explains how to calculate fluid loss during physical activity
It is very interesting to do this calculation and check it throughout the training course, because the organism has a certain adaptability, in addition, there are certain differences between the subjects. For example, we saw in this study (5) that there is a huge difference between American football players and track and field athletes in other conditions that are the same in the body fluid loss caused by sweating. The daily sweat rate of football players is 2.14 liters/hour, while the daily sweat rate of outfield runners is 1.77 liters/hour. In addition, football players lose an average of 9.4 liters of sweat per day, while runners only lose 3.5 liters.

The study table (5) shows the significant difference in body fluids of American football players and track and field players in a day.
Although the sample size is not large, certain data and hypotheses can be obtained in this regard. For example, we can theorize that the larger the individual, as long as the conditions for regulating heat through radiation (blood flow through skin capillaries) and body convection (through skin exposed to air or water) are in balance with room temperature, evaporation (sweat) cooling process time will be longer because more body heat needs to be cooled. And we know that aerobic exercise can improve the ability to maintain a constant body temperature in hot conditions. Without going any further, marathon runners show a lower body temperature at rest, while the sweating threshold is lower in the middle, which means they start sweating earlier to regulate body temperature.
- Sodium: a mineral necessary for the production of nerve impulses and muscle contraction. Generally, the plasma sodium level is about 140-144 mmol/l. So-called hyponatremia occurs when we consume a lot of water and insufficient sodium intake and these levels drop to 135 mmol/l or lower, which is the plasma mineral (sodium in this case) Of dilution. Over time, these low levels increase the chance of cerebral edema and pulmonary edema. Levels below 120 mmol/l can cause brain convulsions and even death. Due to sweating during training and sports activities, sodium loss may vary between 20-80 mmol/l. If we know that some endurance athletes can lose up to 3 liters of sweat per hour (6), we can think that calculating fluid loss in our training sessions is a good choice, as we suggested in the previous paragraph. Therefore, this allows us to understand the importance of adding enough sodium to sports drinks to avoid going to these extremes.

Graphical representation of sweat produced by runners. The images of Sawka and Pandolf (1990) are from the research of B. Baker, Lindsay. Jeukendrup, Asker. (2014).). Optimal composition of Fluid-replacement beverages.
In addition to preventing hyponatremia, the addition of sodium and other electrolytes provides us with another series of benefits (2):
- Increase the palatability of beverages
- Stay thirsty (stimulate fluid intake)
- Increase water collection speed
- Increase fluid retention
- Carbohydrates: The supply of carbohydrates during exercise is one of our best tools to improve performance, especially in endurance sports. Jeukendrup’s classic article on carbohydrate intake and absorption and its transporters during training in 2014 (7) was used as one of the recommended reference guides for athletes.
| From shorter time…… | Exercise duration | Amount of carbohydrates | Types of carbohydrates |
| 30-60 Minutes | Mouthwashes and fast sugar | Maltodextrin or glucose rinses, hydrogels, gummies | |
| 1-2 hours | 30 g/h | Fast sugars: glucose, amylopectin, maltodextrin. Intermediate sugars: table sugar (sucrose), palantinous Slow sugars: fructose, isomaltose | |
| Fast sugars + intermediate / slow Ratios: 1:1-2:1 |
|||
| to longer training time. | 2-3hours | 60 g/h | Carbohydrate mixtures that oxidize very quickly: glucose and fructose (with at least 60 g / h of glucose), Maltodextrin and fructose (with at least 60 g / h of glucose), glucose, sucrose, and fructose (with at least 60 g / h glucose) |
| Fast sugars + slow. Ratio 2:1 | |||
| >2,5 hours | 90 g/h | ||
| Fast sugars + slow. Ratio 2:1-3:1 |
The table is adapted from research by Jeukendrup (9) and Sports Nutrition Book (2), showing carbohydrate recommendations based on training time for advanced athletes
However, based on new studies of different carbohydrate transporters and intakes greater than 90 g/h seen in some elite athletes (such as Chris Froome, Kipchoge, etc.), we can assume that carbohydrates are used for high-performance research and It’s not entirely clear.
Simply put, without evaluating other transporters, we say that for the intestinal absorption of glucose-galactose, we have the sodium-dependent intestinal transporter SGLT-1 (another reason for adding it to sports drinks) and for the absorption of fructose, we use GLUT-5 intestinal transporter, which does not depend on sodium. In other words, this is very important because of the maximum saturation of these transporters for different sugars, the glucose-galactose of SGLT-1 is 60 g/h, and the fructose of GLUT-5 is 30 g/h. Combining different sugars will provide us with better intestinal comfort, higher saturation (approximately 90 g/hour of sugar, although we have said that more can be achieved) and better gastric emptying. It should be noted that this maximum intake is for advanced athletes, so we must adjust the intake according to our level. In addition, with such a high intake, the training of the digestive system starts to take effect, I will discuss this topic in another article. As additional data, the role of GLUT-2 as another important carbohydrate transporter is currently being studied. Finally, in the case of short training time and low intensity, carbohydrates are definitely not necessary; on the other hand, under longer time and very high intensity, we can reach the recommended mid-to-high range and check the feeling.
Types of sports drinks
We can distinguish between alternative drinks and energy drinks; in this article, we will focus on the former.
In alternative sports drinks, it is necessary to distinguish three types: hypotonic, isotonic and hypertonic. Each of these beverages has a different osmotic pressure (the concentration of dissolved particles in the liquid), that is, a higher or lower solute concentration. The osmotic pressure of blood is about 275-295 mmol/kg. This is very important, because depending on the time we consume, we will be more interested in choosing one or the other sports drink. The following is a brief description of these drinks:
- Hypotonic beverage: mainly used for endurance sports. It is a beverage with an osmotic pressure of about 200-295 mOsml/l. The osmotic pressure is slightly lower than that of blood, which is conducive to the improvement of liquid (water) and solutes (sodium and carbohydrates). Good transport through penetration. They are beverages with a carbohydrate content of about 4-6% (40-60 g/L) and a sodium concentration of about 0.5-0.7 g/L. Due to the easy and fast absorption of beverages, it is recommended to use it before physical activity to achieve a sufficient hydration state; we can even seek over hydration (especially if we use glycerin in the formula), thus during physical activity Maintain a better state of hydration. This will promote the development of activities and delay the onset of thirst.
Examples of hypotonic drinks-800 ml water-200ml orange juice or pineapple juice-30 grams of sugar
-1 a pinch of salt
- Isotonic beverage: The osmotic pressure of this beverage is between 200-410 mOsm/l and the carbohydrate concentration is 6-9%. Since gastric emptying slows down, exceeding this amount will cause some upset stomach, which may harm us during adequate physical activity.
Regarding electrolytes, we will again focus on sodium (0.5-0.7 g/L, if it lasts more than 2 hours, even as high as 1.2 g/L), but we will also ensure that our drinks contain potassium to maintain the correct water-electrolyte balance. In addition, the presence of chloride is very important. This is the mineral and potassium that we lose the most due to sweat (2).
We must remember that the rehydration rate is lower than the dehydration rate. Therefore, the main goal of isotonic beverages should be to slow down this dehydration as much as possible to avoid performance degradation during physical activity and good intestinal comfort.Examples of isotonic drinks-600 ml water-400ml orange juice or pineapple juice-60 grams of sugar
-1 a pinch of salt
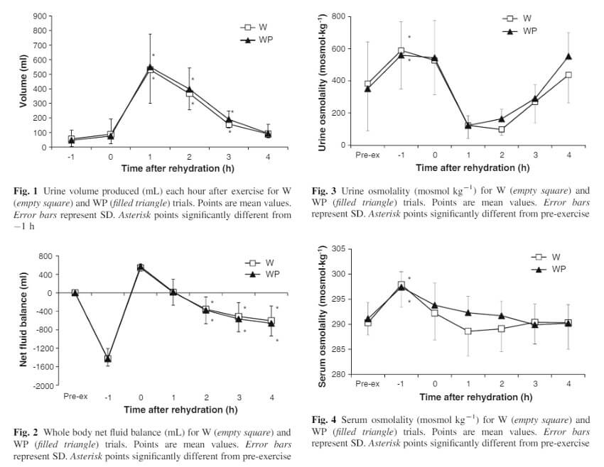
- Hypertonic beverage: It is mostly used as a recovery beverage. The osmotic pressure of this type of beverage is> 410 mOsm/l, the carbohydrate concentration is about 9-12%, and the sodium concentration is 1-1.5 g/l. The feature is that the addition of protein may be interesting. In this study (8), the addition of whey protein isolate seems to improve water retention after exercise by increasing plasma and albumin within hours of ingesting protein beverages.

Diagrams in the study by James et al. Shows the difference in plasma volume between the protein-containing water intake group (WP) and the water-only group (W).
Although, as we can see in the graph below, there is no significant difference at 4 hours, this may be due to the participants’ rapid rehydration (150% of the fluid volume lost within 1 hour of intake).

But we have a study similar to Jones (9), which compares two dosing regimens: one is equivalent to 100% of the fluid lost during the intervention (as shown in the James study) in one hour, and the other This is equivalent to the group dividing 100% of the lost fluid into 12.5% intake every 30 minutes for 4 hours. As a result, the group that consumed fluids allocated for more than 4 hours hydrated better after exercise.

The total post-exercise fluid balance after 8 hours was seen in Jones study (6). The hydration status was better in the group that allocated fluid intake within the next 4 hours
The researchers concluded that rapid changes in plasma volume and blood osmotic pressure (in this study, they did not use minerals or proteins in the rehydration drink) caused the secretion of antidiuretic hormones (vasopressin and aldosterone) which generates a diuresis response from the kidneys. Hence the importance of sodium in formulations is due to its role as an osmotic and blood pressure regulator. In fact, we can conclude that drinking hypertonic beverages and whey protein isolate in small doses within 3-4 hours after exercise will be considered a good method of hydric recovery. It should also be noted that due to physical wear and tear, adding protein to hypertonic beverages can also help us reverse the body’s catabolic state, by increasing MPS (Muscle Protein Synthesis) to give it signals to activate the anabolic repair pathway. Contrary to the study of Jones (9), James et al. (10) I saw how a formula of 25 grams of whey protein and 40 grams of carbohydrates can improve water retention 4 hours after ingestion, instead of carbohydrate solutions and electrolytes with the same calories.
The image of study (10) shows that athletes who consume a solution containing whey protein + carbohydrates have a better water balance compared to athletes who consume only carbohydrates
One of the conclusions of the study is “While drinking a sufficient volume of fluid to replace that lost through sweating is vital to the overall rehydration process, it is the composition of the ingested fluid that determines how much of the fluid is retained.” There are more studies that reinforce the idea that dairy proteins such as whey protein or milk improve the post-exercise rehydration process.
As a recommendation, we would use this type of drink mainly if dehydration is very high (> 5% body weight loss) or if we have less than 24 hours for the next session of physical activity. Otherwise, the main thing would be to continue with normal hydration and nutrition which is a typical feature of training days.
Examples of hypertonic drinks
-400 ml water
-600ml orange juice or pineapple juice
-40 or 50 g whey protein
-40 grams of amylopectin
-30 grams of sugar
-2 pinch of salt
Conclusion
As a general rule, our goal for vigorous physical activity should be to achieve the best hydration before, during and after the activity. Therefore, athletes or professionals have the responsibility to suggest that they try different drink combinations and ratios, adapt them to the athlete’s requirements according to the type of exercise, and always consider the weather variables that will appear during the exercise. Sweat volume, urine volume, energy required for exercise, digestion function of different carbohydrates, etc. There are great differences between different sports and athletes, so the beverage recommendations that appear in the article are just that the recommendations can be more or less useful depending on the person.
There is no magical drink for everyone. We can use different tools, and we must experiment with them to find the best method for athletes.
If you have any questions, don’t hesitate to ask! Leave a comment or contact us here.
Bibliography
- Domínguez, Raúl. Mata Ordoñez, Fernando. Sánchez Oliver, Antonio J. (2017). Nutrición Deportiva Aplicada: Guía para Optimizar la Rendimiento. Editorial ICB Editores.
- Jeukendrup, Asker. Gleeson, Michael (2019). Nutrición Deportiva. (3ª edición). Editorial Tutor.
- Componentes de la bebida para las personas que realizan una intensa Actividad Física. Grupo de trabajo de Nutrición en el Deporte de SEMED /FEMEDE.
- Burke, L.M., Maughan, R. (2007). Comisión Médica y Antidopaje de la IAAF. Nutrición en el Atletismo. Guía práctica de alimentación y la hidratación para la salud y el buen rendimiento en el atletismo. IAAF.
- Godek, S., Bartolozzi, A., Godek, J., Roberts, W. (2005). Sweat rate and fluid turnover in American football players compared with runners in a hot and humid environment.
- B. Baker, Lindsay. Jeukendrup, Asker. (2014). Optimal composition of Fluid-replacement beberages.
- Asker Jeukendrup. (2014) A Step Towards Personalized Sports Nutrition: Carbohydrate Intake During Exercise.
- James, Lewis J.; Mattin, L.; Adebishi, R.; Aldiss, Peter. (2014). Effect of whey protein isolate on rehydration after exercise.
- Jones, Eric J.; Bishop, Phil A.; Green, James M.; Richardson, Mark T. (2010). Effects of Metered versus Bolus Water Consumption on Urine Production and Rehydration.
- Lewis J. James, David Clayton, Gethin H. Evans. (2011) Effect of milk protein addition to a carbohydrate-electrolyte rehydration solution ingested after exercise in the heat.


